When and by whom was Stonehenge build? From which quarries do its stones come from? This post attempts to provide answers for the reader by extracting information from recently published official material.

Abstract The date of Stonehenge’s sarsen circle and trilithons has never been satisfactorily established. This detailed re-examination of the monument’s stratigraphy identifies flaws in previous excavators’ interpretations, leading to a revision of the stratigraphic sequence and re-dating of this important phase (Phase 3ii) to 2620-2480 BC. Implications of this include the presence of Beaker pottery in Britain before 2500 BC, the relatively late adoption of an inhumation rite after 2470 BC for the Amesbury Archer and other early Beaker burials, and the possible contemporaneity of Stonehenge Phase 3ii with nearby Durrington Walls. The paper outlines two new initiatives: the Beaker People Project (analysing mobility, migration and diet in the late third millennium BC) and the Stonehenge Riverside Project (summarizing results of new excavations at Durrington Walls).
(Source: “The age of Stonehenge”, by Mike Parker Pearson et al.)

Abstract Osteobiographies of four individuals whose skeletal remains were recovered in 2015–16 from the Stonehenge World Heritage Site are constructed, drawing upon evidence from funerary taphonomy, radiocarbon dating, osteological study, stable isotope analyses, and microscopic and biomolecular analyses of dental calculus. The burials comprise an adult from the Middle Neolithic period, immediately prior to the building of Stonehenge, and two adults and a perinatal infant dating from the Middle Bronze Age, shortly after the monument ceased to be structurally modified. The two Middle Bronze Age adults were closely contemporary, but differed from one another in ancestry, appearance and geographic origin (key components of ethnicity). They were nevertheless buried in very similar ways. This suggests that aspects they held in common (osteological analysis suggests perhaps a highly mobile lifestyle) were more important in determining the manner of deposition of their bodies than any differences between them in ethnicity. One of these individuals probably came from outside Britain, as perhaps did the Middle Neolithic adult. This would be consistent with the idea that the Stonehenge landscape had begun to draw people to it from beyond Britain before Stonehenge was constructed and that it continued to do so after structural modification to the monument had ceased.
(Source: “Lives before and after Stonehenge: An osteobiographical study of four prehistoric burials recently excavated from the Stonehenge World Heritage Site”, by S. Mays)

Abstract Cremated human remains from Stonehenge provide direct evidence on the life of those few select individuals buried at this iconic Neolithic monument. The practice of cremation has, however, precluded the application of strontium isotope analysis of tooth enamel as the standard chemical approach to study their origin. New developments in strontium isotopic analysis of cremated bone reveal that at least 10 of the 25 cremated individuals analysed did not spend their lives on the Wessex chalk on which the monument is found. Combined with the archaeological evidence, we suggest that their most plausible origin lies in west Wales, the source of the bluestones erected in the early stage of the monument’s construction. These results emphasise the importance of inter-regional connections involving the movement of both materials and people in the construction and use of Stonehenge.

Despite over a century of intense study of Stonehenge, we still know very little about the individuals buried at the site. Attention has focused rather on its monumental construction – the sourcing of the stones, their transport and construction, and on astronomical alignments. Stonehenge, however, also functioned as a cemetery from an early stage in its long history. Excavations in 1919–26 recovered the cremated remains of up to 58 individuals, making Stonehenge one of the largest Late Neolithic burial sites known in Britain. Following their initial excavation, the cremated remains found in various ‘Aubrey Holes’ (a series of 56 pits placed around the inner circumference of the bank and ditch, named in honour of the seventeenth century antiquarian John Aubrey who first noted them) and elsewhere at the site were re-interred in Aubrey Hole 7 (AH7). This pit was re-excavated in 2008, and osteoarchaeological analysis identified central occipital bone fragments from at least 25 individuals. Direct radiocarbon dating places them in the centuries between 3180–2965 and 2565–2380 BC, reflecting the monument’s earlier stages of construction a period during which cremation was a common burial practice in Britain.
While the large sarsens (silicified sandstone) of the second stage of Stonehenge were most likely sourced ca. 20 kilometres north of the site, the bluestones (rhyolite, spotted dolerite and other lithologies) – now thought to have been erected in an earlier stage – have long been linked with the Preseli Hills of west Wales, over 200 km away, with some now more specifically sourced to Craig Rhos-y-felin and Carn Goedog quarries. This raises questions about the nature of contacts between Wessex (south-central England) and western Britain, and the identity and origin of those chosen for burial at Stonehenge.
Unfortunately, cremation severely limits what can be learned about human remains from both traditional osteological and biogeochemical approaches. Isotopic studies of provenance usually focus exclusively on tooth enamel, as most resistant to diagenesis, but cremation leads to enamel spalling and destruction. High temperatures also alter the stable carbon and oxygen isotope ratios of bone that might otherwise inform on diet and mobility although they may still provide information on pyre characteristics such as temperature and ventilation. Importantly for our purposes, fully calcined bone has recently been demonstrated to be a reliable substrate for preservation of the original strontium isotope (87Sr/86Sr) composition which reflects an average of the foods eaten over the last decade or so before death, in contrast to the childhood signal represented by dental enamel. In addition, Stonehenge lies on the Wessex chalk, characterized by a well-constrained range of strontium isotope ratios (±2 SD: 0.7074–0.7090) allowing for the identification of individuals consuming food beyond this landscape.
For this study, infrared, elemental and isotopic analyses were carried out on fragments of cremated occipital bone representing 25 distinct individuals at Stonehenge. In addition, strontium isotope ratios (87Sr/86Sr) of 17 modern plant samples from eight locations in west Wales were measured and combined with previously published modern plant, water and dentine data from Britain. This provides a baseline of the biologically available strontium (BASr) for Stonehenge and west Wales as well as for other parts of Britain, which is important as the values for the underlying geological formations and soils do not necessarily translate directly into the biosphere. The strontium isotope ratios for modern plants clearly distinguish the Ordovician and Silurian lithologies of west Wales (0.7095–0.7120) from the Cretaceous chalk of Wessex (0.7074–0.7090), which extends for at least 15 km around Stonehenge in all directions. Beyond this to the west and north is a large zone showing intermediate values (0.7090–0.7100) with small pockets of higher values.
Previous strontium and oxygen isotopic research on human enamel concluded that the Beaker period (ca. 2400–1800 BC) ‘Boscombe Bowmen’ found near Stonehenge may have originated in west Wales, or perhaps from even further afield, in Brittany. Strontium isotope analysis has also been used on cattle from Durrington Walls, a large henge monument near to and contemporary with the later phases at Stonehenge (ca. 2500 BC), with some individual animals showing more radiogenic signals typical of the older bedrock of western or northern Britain. None of this pre-supposes the outcome of the current study: both the Boscombe Bowmen and the Durrington Walls fauna post-date most of the cremations at Stonehenge by many centuries, and the movement of animals may have differed from that of people, especially with regard to the rights of certain individuals to be buried at Stonehenge.

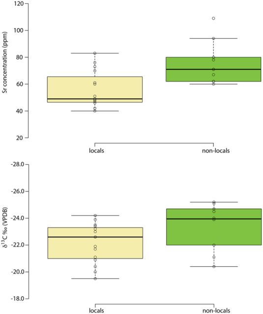
The infrared spectroscopy results confirm that all samples were fully calcined. The 87Sr/86Sr ratios for the cremated human remains from Stonehenge range from 0.7078 to 0.7118. There is no consistent relationship between the strontium isotope results and the radiocarbon dates. We consider the fifteen individuals with strontium isotope ratios falling below 0.7090 as ‘local’ inasmuch as they clearly reflect the chalk geology, although it must be acknowledged that this extends for at least 15 km in all directions, and further in some. With values ranging from 0.7091 to 0.7118, the remaining ten individuals (40%) could not have consumed food growing around Stonehenge alone for the last ten or so years of their lives. Those with the highest values (>0.7110) point to a region with considerably older and more radiogenic lithologies, which would include parts of southwest England (Devon) and Wales (parsimony making locations further afield – including parts of Scotland, Ireland and continental Europe – less probable). Those ‘non-locals’ with intermediate values could reflect places closer to Stonehenge or a mixture of different sources (e.g. chalk or other limestones and more radiogenic lithologies). Since measurements on bone reflect a mixture of the foods consumed over the decade or so prior to death, there is also a temporal aspect to be considered. For example, those moving later in life from west Wales to the vicinity of Stonehenge would present a signal increasingly attenuated by the consumption of local foods, while migrants arriving on the Wessex chalk more than a decade before death would effectively become ‘local’ in terms of their bone strontium isotope ratio. Complex patterns of movements in both directions are possible, with individuals originating in Wessex moving to west Wales, and incorporating a higher, more radiogenic 87Sr/86Sr signal. Obviously, any such individuals would only feature in the present study if they subsequently returned to Stonehenge either before death, or afterwards in the form of cremated remains.
Further infrared data show that only four samples contain cyanamide (–CN2H) suggesting that the cremations took place under oxidizing conditions, i.e., high oxygen-to-fuel ratio, as would be produced in small and/or well-ventilated pyres. The carbon (δ¹³C) and oxygen (δ¹⁸O) isotope ratios of the carbonate fraction of the cremated bone apatite show a broad range of un-correlated values in contrast to observations from Neolithic sites in Ireland where correlations were observed, suggesting that the Stonehenge individuals were cremated under more variable conditions (e.g. pyre settings, amount, type and origin of the wood used as fuel).
The ‘locals’ as identified by strontium isotope ratios also exhibit a lower elemental strontium concentration (Student’s t-test, p = 0.003; Cohen’s d = 1.35). The interpretation of this difference, however, is not straightforward. Chalk would be expected to have a higher Sr concentration than the varied lithologies of west Wales, but this needs to be balanced against the ratio of Sr to calcium (Ca), since Sr substitutes for Ca in the skeleton, and this ratio is higher in the mudstones and siltstones that characterise west Wales than in carbonate rock. Another possibility is that there was a dietary difference between the two regions, with greater reliance on plant foods in west Wales compared to Wessex (biopurification causing a sharp drop in Sr concentration between plants and animal flesh/milk), though admittedly this is hard to envisage given that both regions are primarily suited to pasture. Further research is required to explain the observed difference. The ‘locals’ also have higher δ¹³C values compared to the ‘non-locals’ (Mann-Whitney U-test, p = 0.010; Spearman’s r = 0.535). Given the relative isotopic homogeneity of Neolithic diets in Britain (based on a C3 terrestrial system), this is unlikely to reflect dietary differences. This is particularly so since the δ¹³C of cremated bone largely reflects the values of the fuel used for the cremation pyres, with between 40 and 95% of the wood values being incorporated into the cremated bone signal. This in turn is related to the trees’ growing conditions, especially as regards the amount of light received. Thus, the higher δ¹³C values seen in the ‘locals’ suggest the use of pyre wood grown in a relatively open landscape, consistent with conditions on Wessex’s chalk downlands. The lower values, by contrast, suggest wood fuel taken from comparatively dense woodland, such as would have been found in Wales. Together, the infrared and carbon isotope results suggest that the cremations of those buried at Stonehenge took place under different conditions, using different types of fuel. Moreover, the link between non-locals and lower δ¹³C values suggests that some individuals may have been cremated in west Wales and their remains subsequently brought to Stonehenge. This recalls Hawley’s observation during his 1920s excavations that the cremated remains in the Aubrey Holes appeared to have been deposited in organic containers such as leather bags, leading him to suggest that they “had apparently been brought from a distant place for interment” (1928: 158)30.
We conclude that at least 40% of those buried at Stonehenge did not exclusively spend the last decade or so of their lives in the environs of the site, or indeed anywhere on the chalklands of southern England. The highest strontium isotope ratios are consistent with living on geological formations in western Britain, a region that includes west Wales, the known source of Stonehenge’s bluestones. While strontium isotope ratios on their own cannot distinguish between places with similar values, this connection suggests that west Wales is the most likely origin of at least some of these individuals. Indeed, all the measurements fall between the biologically available strontium values for Stonehenge and west Wales, consistent with people moving between the two locations at different times in their lives. Finally, the results suggest that at least some ‘non-local’ individuals were cremated away from Stonehenge, and that their cremated remains were brought to the site for burial, perhaps in conjunction with the raising of the bluestones. This is particularly compelling in light of the recent suggestion that the bluestones originally stood in the Aubrey Holes in which most of the cremations were found.
(Source: “Strontium isotope analysis on cremated human remains from Stonehenge support links with west Wales”, by Christophe Snoeck)

NovoScriptorium: Followingly we present information about Stonehenge’s bluestones.

Geological Sources for Stonehenge’s Bluestones Geologists have recently identified several of the sources of bluestones through geochem-istry and petrography (Ixer and Turner 2006; Ixer et al. 2017). The major source of the spot-ted dolerite is a small outcrop called Carn Goedog on the north flank of the Preseli hills (Bevins, Ixer and Pearce 2013). Just west of Carn Goedog is Cerrigmarchogion, now iden-tified as the likely source of Stonehenge’s unspotted dolerite. Two miles (3 km) to the north of Carn Goedog is Craig Rhos-y-felin, an outcrop of rhyolite recently identified as the source of one or more of Stonehenge’s rhyolite bluestones (Ixer and Bevins 2011).
Archaeological excavations were carried out at Craig Rhos-y-felin in 2011–2015 and at Carn Goedog in 2014–2016 to search for traces of Neolithic megalith-quarrying and to date these remains to confirm whether the bluestones could have been installed at Stonehenge in its first stage. At Craig Rhos-y-felin and Carn Goedog the rock forms natural pillars separated by vertical jointing which makes these pillars relatively easy to detach. The Neolithic megalith-quarry workers would have had to free each pillar, then lower it onto a wooden sledge and drag it away. They probably did not shape these monoliths at the quarries. Most of Stonehenge’s blue-stones, in contrast to the sarsens, have not been shaped (dressed); those that have, display the same style of transverse dressing as applied to the sarsen trilithons (Abbott and Anderson-Whymark 2012). Since these trili-thons were not erected at Stonehenge until Stage 2, it seems likely that dressing of the bluestones took place at Stonehenge some centuries after Stage 1.
Craig Rhos-y-felin Megalith Quarry Geological identification of just where the Stonehenge rhyolite came from on the Craig Rhos-y-felin outcrop is extremely precise. Due to the unusual micro-structure of the rock, it was possible to provide a close match at just one specific location on the rock face. This is exactly at the spot where there is a recess from which a 0.4 m-wide, 2.5 m long pillar is missing (Parker Pearson et al. 2015). After three seasons of excavation we reached the Neolithic deposits beside the outcrop, which consisted of a small hearth and associated spread of occupation debris within 2m of the recess. Finds were sparse, consisting of a few tools and flakes of rhyolite and flint and the carbonised remains of wood and hazelnut shells. The latter provided two radiocarbon dates of 3620–3360 BC and 3500–3120 BC (Parker Pearson et al. 2015).
The Craig Rhos-y-felin sequence has produced evidence for an artificial platform and trackway leading away from it, adjacent to the recess from which a pillar was removed, a pillar that eventually ended up at Stonehenge. Dating evidence from the trackway and platform, as well as from the occupation deposit beside the recess, reveals that this episode of megalith-quarrying took place most likely at some time in the period 3500–3360 BC.
Carn Goedog Megalith Quarry At least five stones at Stonehenge are sourced to Carn Goedog (Bevins, Ixer and Pearce 2013).
Carn Goedog’s main period of monolith extraction was slightly later than at Craig Rhos-y-felin, in the two or three centuries before 3000 BC. The same method was used of lowering monoliths onto a level platform, in this case built largely of large flat slabs with sediment in between them, sitting on top of the Neolithic ground surface. Unlike Craig Rhos-y-felin, no hollow way was formed by the hauling-away of monoliths, presumably because the hard ground and tough grass cover on this elevated hillside were not eroded by moving stones over the surface. The construction of a stone-filled ditch (the date of which coincides with Stage 1 at Stonehenge) as a barrier to cut off access to bluestone pillars from the outcrop, is intriguing. It may have served to prevent removal of any more of these important stones.
An Original Stonehenge in Wales? So where were the bluestones of Craig Rhos-y-felin and Carn Goedog initially taken? Since monoliths were extracted at different times from the two quarries, it seems likely that they were incorporated either into two monuments or into a two-phase monument, likely to be located in their vicinity, before being dismantled and taken to Salisbury Plain to be erected there in 3000–2755 BC. If this is so, then where and what might this original ‘Stonehenge’ be? Somewhere in the vicinity of these quarries may lie the remains of one or more stone circles that formed the original Stonehenge, just waiting to be found. One of the greatest archaeological discoveries in world archaeology may be just around the corner.
(Source: “The Origins of Stonehenge: On the Track of the bluestones”, by Mike Parker Pearson et al.)

Geologists have long known that Stonehenge is formed of two main types of stone: a silcrete, known as ‘sarsen’, was used for the large trilithons, sarsen circle and other monoliths, and a variety of ‘bluestones’ was used for the smaller standing stones, which were erected in an inner ‘horseshoe’ and an outer circle. Of these 43 bluestone pillars, some 27 are of spotted dolerite known as ‘preselite’ – an igneous blue-green rock characteristically speckled with ovate patches of pale-coloured secondary minerals – which can be provenanced in Britain only to the Preseli hills (Mynydd Preseli) in north Pembrokeshire, west Wales, about 230km away from Salisbury Plain.
Stonehenge’s spotted dolerite was once thought to have come from Carn Menyn, the largest dolerite outcrop on Preseli (Thomas 1923), but a reassessment of sampled bluestones from Stonehenge identified the outcrop of Carn Goedog as a closer chemical match (Williams-Thorpe et al. 2006). Recent geochemical analysis has revealed two main groups of Stonehenge spotted dolerite, the larger of which (Stones 33, 37, 49, 65 & 67) can be matched most closely with Carn Goedog (Bevins et al. 2013). The second group (Stones 34, 42, 43 & 61) has not been provenanced to a specific Preseli outcrop but may derive from Carn Goedog or from nearby outcrops such as Carn Breseb or Carn Gyfrwy.
Geological characterisation of other types of bluestone present at Stonehenge has led to identification of three further sources. One of these is an outcrop of unspotted dolerite at Cerrigmarchogion and Craig Talfynydd, on the Preseli ridge west of Carn Goedog (Bevins et al. 2013). Another source – of ‘rhyolite with fabric’ – is Craig Rhos-y-felin, an outcrop in the Brynberian tributary of the River Nevern (Ixer & Bevins 2011; Parker Pearson et al. 2015). The fourth source – of Lower Palaeozoic Sandstone – is located in sedimentary beds north of Mynydd Preseli (Ixer et al. 2017). Other Stonehenge bluestones, notably volcanic tuffs, remain to be sourced but are thought also to originate in the Preseli area (Ixer et al. 2015; Ixer & Bevins 2016). Finally, Stonehenge’s sandstone ‘Altar Stone’ is now believed to derive from Lower Old Red Sandstone strata of the Senni Formation (and not from the Cosheston Group around Milford Haven, contra Atkinson 1956: 46) so could derive from further away from the bluestone sources to the east, such as the Brecon Beacons (Ixer & Turner 2006; Ixer et al. 2017).
The geological and archaeological evidence from Carn Goedog, and the results from Craig Rhos-y-felin (Ixer & Bevins 2011; Parker Pearson et al. 2015), have firmly identified Stonehenge sources and Neolithic megalith-quarrying at those outcrops. This persuasively lays to rest the misconception that Pliocene or Pleistocene glaciers might have been responsible for transporting the bluestones to Salisbury Plain (e.g. Kellaway 1971; Williams-Thorpe et al. 1997). The dating of quarrying activity at both outcrops places the megaliths’ extraction from the Preseli sources within two or three centuries of the bluestones’ first erection at Stonehenge Stage 1 (Darvill et al. 2012).
Megalith-quarrying at Carn Goedog and Craig Rhos-y-felin At least five bluestone pillars (Stones 33, 37, 49, 65 & 67) were taken from Carn Goedog, and probably many more (Bevins et al. 2013). The multiple and large recesses in the rock face are further evidence that pillar removal was extensive at this outcrop, even though quarrying in the early modern period has obscured evidence of pillar removal in the western part of the outcrop. In contrast, the bluestone rhyolite quarry at Craig Rhos-y-felin appears to have been used much less intensively (Parker Pearson et al. 2015). At least one pillar was taken from this rhyolite source but probably no more than two or three in total.
Although pillar extraction at Craig Rhos-y-felin was more limited, its quarrying structures are similar to those at Carn Goedog. An artificial platform was constructed here, its vertical outer edge formed by a drystone retaining wall (Parker Pearson et al. 2015: 1344, fig. 12). This retaining wall was built on top of alluvial sediment containing charcoal dating to the sixth millennium BC. Beyond the wall, a 2m-wide hollow way, cut into this soft riverine sediment, led from the foot of the wall away from the quarry (ibid.). The hollow way and the foot of the revetment wall were covered by a 0.20–0.35m-deep layer of charcoal-rich alluvium.
New radiocarbon dates from this later sediment (3330–2920 cal BC [OxA-35151; 4434±31 BP], 3270–2910 cal BC [OxA-35152; 4404±31 BP] and 3520–3340 cal BC [OxA-35412; 4627±34 BP]) indicate that the Craig Rhos-y-felin hollow way went out of use by the end of the last quarter of the fourth millennium BC. The dates from this alluvial fill hint at clearance episodes upstream, involving vegetation clearance and soil erosion, at this period in the Middle Neolithic. Consistent with a Neolithic date is a rhyolite end-scraper from the platform fill; the only dateable charcoal from the fill of the platform is from the sixth–fifth millennia BC and is likely to be residual in this redeposited material.
The dating evidence from the bluestone quarry sites at both Carn Goedog and Craig Rhos-y-felin arguably places monolith extraction in the second half of the fourth millennium BC. Most of the prehistoric dates for Carn Goedog fall within the period c. 3350–3000 cal BC whilst those for Craig Rhos-y-felin provide a slightly longer chronological span. The latest date from the platform at Carn Goedog is very close to the Neolithic date from the blocking ditch; together, they indicate that the monolith quarry was put out of use in or around the thirtieth century cal BC.
These dates coincide closely with that of 3080–2890 cal BC (at 95% confidence; OxA-18036; 4332±35 BP) from cremated human bone in an inferred primary fill of Aubrey Hole 32 at Stonehenge (Parker Pearson et al. 2009: 26, tab. 2). Our recent reassessment of the 56 Aubrey Holes interprets them as being sockets for the bluestones on their arrival at Stonehenge (Parker Pearson et al. 2009: 32; Darvill et al. 2012: 1029), and this coincidence of dates is therefore particularly striking. The fact that the stone-filled ditch formed a barrier that prevented further monoliths from being removed from the Carn Goedog quarry, within a century or less of the bluestones being moved to Stonehenge, raises interesting questions about access to and control of this outcrop and its products.
(Source: “Megalith quarries for Stonehenge’s bluestones”, by Mike Parker Pearson et al.)

Research-Selection for NovoScriptorium: Philaretus Homerides
Leave a comment